Top.Mail.Ru
info@dia-m.ru 8 (800) 234-05-08
+7 (495) 745-05-08
Ваш регион Москва?

Химические реактивы - буква «г»(временно недоступные реактивы)

neoFroxx
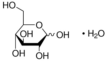
Галактоза- D(+), CAS 59-23-4, 98%, pure EP (pharma grade), (аналог арт. 937750, CDH, Индия)
LC-5073.3
100 г
LC-5073.2
500 г
LC-5073.1
1 кг
LC-5073.4
5 кг
Товар временно недоступен. Аналог: 937750, CDH, Индия.


CAS-No. 59-23-4
Химическая формула C₆H₁₂O₆
Молекулярный вес, г/моль 180,16
Содержание основного вещества, % не менее 98
Внешний вид белый порошок
Потери при высушивании (110 °C, 3 ч), % не более 0,3
Растворимость (10 % в воде, 20°C), г/л 650
Температура плавления, °C 163-171
α20°C/D; 10 % в воде +78,0° … +81,5°
Содержание глюкозы, ppm не более 1000
Метанол (GC), % не более 0,3
Тяжелые металлы (такие как свинец), ppm не более 0,5
Вода, % не более 1
Сульфатная зола, % не более 0,3
Дрожжи и грибы не более 100 / g
neoFroxx
Гексан, CAS 110-54-3, 96%, для ВЭЖХ, (аналог арт. 743560.2.5 lit, CDH, Индия)
LC-4065.2
2,5 л
Товар временно недоступен. Аналог: 743560.2.5 lit, CDH, Индия.





Синоним: н - гексан.
CAS-No. 110-54-3
Химическая формула CH₃(CH₂)₄CH₃
Молекулярный вес 86,18 г/моль
Внешний вид бесцветная жидкость
Содержание основного вещества, % 96
Вода, % не более 100 ppm
Кислотность не более 0,00015 мэкв/г
Щелочность не более 0,00015 мэкв/г
Остаток после испарения не более 2 ppm
Ароматические соединения не более 10 ppm
Общая сера не более 5 ppm
Коэффициент пропускания УФ:
210 нм не менее 50 %
220 нм не менее 82 %
230 нм не менее 92 %
240 нм не менее 95 %
245 нм не менее 98 %
250 нм не менее 99 %
УФ-поглощение от 260 до 420 нм не более 0,01 AU
Merck (Millipore, Sigma-Aldrich, Supelco)
Гемин, 90 %

Товар временно недоступен. Аналоги по запросу ниже.



Синоним: хлор (протопорфиринато) железо (III), хлорогемин, хлорпротопорфирин IX железо (III), феррипротопорфирин IX хлорид, гемин(хлорид).

CAS №

16009-13-5

Химическая формула

C34H32ClFeN4O4

Молекулярный вес

651,94

Содержание основного вещества, %

не менее 90

Внешний вид

порошок

Растворимость

1,4 M NH4OH: 25 мг/мл

Температура хранения, °C

2-8

Индекс риска

R22Опасно при проглатывании
R41Риск серьёзного повреждения глаз
R52/53Опасно для водных организмов, может вызывать долгосрочные неблагоприятные изменения в водной среде
Индекс риска (R)
22-41-52/53

Индекс безопасности

S26В случае попадания в глаза немедленно промыть глаза большим количеством воды и обратиться за медицинской помощью
S39Используйте средства защиты глаз/лица
Индекс безопасности (S)
26-39-61
neoFroxx
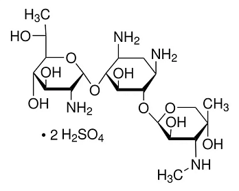
Генетицин G418 дисульфат, CAS 108321-42-2, 98%, для биохимии, (аналог арт. PCT2116 .1 gm, CDH, Индия)
1150GR001
1 г
Товар временно недоступен. Аналог: PCT2116 .1 gm, CDH, Индия.


Синонимы: антибиотик G418.



CAS-No. 108321-42-2
Химическая формула C20H40N4O10 х 2 H2SO4
Молекулярный вес, г/моль 692, 70
Содержание основного вещества, % не менее 98
Внешний вид белый порошок
Содержание воды, % не более 12
Потенциал, мкг/мг не менее 620
Условия хранения комнатная температура

Индекс риска

R24/25Токсично при попадании на кожу и проглатывании
Индекс риска (R)
24/25

Индекс безопасности

S26В случае попадания в глаза немедленно промыть глаза большим количеством воды и обратиться за медицинской помощью
S39Используйте средства защиты глаз/лица
S37/39Надеть соответствующие перчатки и средства защиты глаз/лица
S24/25Избегать попадания на кожу и в глаза
S36/37/39Надеть соответствующую защитную одежду, перчатки и средства защиты глаз/лица
S45В случае аварии или при плохом самочувствии немедленно обратиться за медицинской помощью (по возможности предъявить этикетку материала)
S36Наденьте соответствующую защитную одежду
Индекс безопасности (S)
26-39-37/39-24/25-36/37/39-45-36
neoFroxx
Гентамицин сульфат, CAS 1405-41-0, для биохимии, (аналог арт. 103935, CDH, Индия)
1453GR010
10 г
1453GR025
25 г
Товар временно недоступен. Аналог: 103935, CDH, Индия.



CAS-No. 1405-41-0
Химическая формула C₁₉₋₂₁H₃₉₋₄₃N₅O₇×2,5H₂SO₄
Молекулярный вес, г/моль 694,75–723,75
Активность 600 I.E./мг
Внешний вид белый порошок
Специфическое вращение (α20°C/D; 10 % в воде) +107° to +121°
pH (4 % в воде) 3,5–5,5
Вода (по Карлу Фишеру), % не более 15
Сульфаты, % не более 32–35
neoFroxx
Гепарин натриевая соль, CAS 9041-08-1, для клеточной биологии, (аналог арт. 110635, CDH, Индия)
1170GR005
5 г
Товар временно недоступен. Аналог: 110635, CDH, Индия.


CAS-No. 9041-08-1
Молекулярный вес 8000–25000 г/моль
Пирогенный тест пройден
Содержание основного вещества 150 I.U. /мг
Растворимость (1 % в воде) чистый прозрачный
Специфическое вращение +258° до +287°
pH (1 % в воде, 20°C) 5,5–8,0
Тяжелые металлы (свинец), % не более 0,003
Потери при сушке, % не более 8
neoFroxx
Гистидин гидрохлорид-L моногидрат, CAS 5934-29-2, 98,5-101%, pure EP, (аналог арт. 037118.500 gm, CDH, Индия)
LC-4934.3
50 г
LC-4934.2
100 г
LC-4934.4
500 г
LC-4934.1
1 кг
Товар временно недоступен. Аналог: 037118.500 gm, CDH, Индия.

Синонимы: (S)-α-амино-1H-имидазол-4-пропановой кислоты гидрохлорид, L-α-Амино-β-(4-имидазолил)пропионовая кислота моногидрохлорид, L-α-Amino-β-(4-imidazolyl)propionic acid monohydrochloride.



CAS-No. 5934-29-2
Химическая формула C₆H₉N₃O₂×HCl×H₂O
Молекулярный вес, г/моль 209,63
Содержание основного вещества, % 98,5 – 101,0
Вода, % 7,2-10,0
Потери при высушивании (150°C), % 7,0-10,0
Сульфатная зола (600°C), % не более 0,1
Сульфаты, % не более 0,02
Тяжелые металлы, % не более 0,001
Железо, % не более 0,001
pH (50 г/л CO₂-free water) 3,5–5,0
pH (100 г/л, CO₂-free water) 3,5–4,5
Вращение (α 20/D) +9,2° – +10,6°
neoFroxx
Гистидин-L основной, CAS 71-00-1, для клеточной биологии, 99%, (аналог арт. 113170.100 gm, CDH, Индия)
1211GR100
100 г

Товар временно недоступен. Аналог: 113170.100 gm, CDH, Индия.



Синонимы: L-2-амино-3-(имидазолил-4)-пропионовая кислота,
2-амино-3-(4-имидазолил)пропионовая кислота, Гистидин-L, Гистидин/Histidine, NSC 137773.


CAS-No. 71-00-1
Химическая формула C₆H₉N₃O₂
Молекулярный вес, г/моль 155,16
Содержание основного вещества, % Не менее 99
pH (2 % в воде) 7,0-8,5
α20°C/D; 10 %, HCl +11,8°…+12,8°
Другие аминокислоты, % Не более 0,5
Аммоний, % Не более 0,1
Хлориды, % Не более 0,02
Сульфаты, % Не более 0,02
Мышьяк, % Не более 0,0001
Железо, % Не более 0,001
Свинец, % Не более 0,001
Условия хранения Комнатная температура

Индекс риска

R24/25Токсично при попадании на кожу и проглатывании
Индекс риска (R)
24/25

Индекс безопасности

S26В случае попадания в глаза немедленно промыть глаза большим количеством воды и обратиться за медицинской помощью
S39Используйте средства защиты глаз/лица
S37/39Надеть соответствующие перчатки и средства защиты глаз/лица
S24/25Избегать попадания на кожу и в глаза
S36/37/39Надеть соответствующую защитную одежду, перчатки и средства защиты глаз/лица
S45В случае аварии или при плохом самочувствии немедленно обратиться за медицинской помощью (по возможности предъявить этикетку материала)
S36Наденьте соответствующую защитную одежду
Индекс безопасности (S)
26-39-37/39-24/25-36/37/39-45-36
neoFroxx
Гистидин-L основной, pure EP, USP (pharma grade), CAS 71-00-1, (аналог арт. 113170.100 gm, CDH, Индия)
LC-4584.3
100 г

Товар временно недоступен. Аналог: 113170.100 gm, CDH, Индия.


Синонимы: L-2-амино-3-(имидазолил-4)-пропионовая кислота, 2-амино-3-(4-имидазолил)пропионовая кислота, Гистидин-L, Гистидин/Histidine, NSC 137773.




CAS-No. 71-00-1
Химическая формула C₆H₉N₃O₂
Молекулярный вес, г/моль 155,16
Содержание основного вещества, % 98,5-101,5
pH (2% в воде, 20 °C) 7-8,5
Специфическое вращение +12,6…+14,0
Потери при высушивании при 105 °C, % Не более 0,2
Сульфаты, % Не более 0,03
Хлориды, % Не более 0,02
Железо, % Не более 0,003

Индекс риска

R24/25Токсично при попадании на кожу и проглатывании
Индекс риска (R)
24/25

Индекс безопасности

S26В случае попадания в глаза немедленно промыть глаза большим количеством воды и обратиться за медицинской помощью
S39Используйте средства защиты глаз/лица
S37/39Надеть соответствующие перчатки и средства защиты глаз/лица
S24/25Избегать попадания на кожу и в глаза
S36/37/39Надеть соответствующую защитную одежду, перчатки и средства защиты глаз/лица
S45В случае аварии или при плохом самочувствии немедленно обратиться за медицинской помощью (по возможности предъявить этикетку материала)
S36Наденьте соответствующую защитную одежду
Индекс безопасности (S)
26-39-37/39-24/25-36/37/39-45-36
neoFroxx
Глицерин, CAS 56-81-5, 87 %, pure EP (pharma grade), (аналог арт. 940500.500 ml, CDH, Индия)
LC-7902.1
500 мл
LC-7902.3
1 л
LC-7902.2
2,5 л
LC-7902.4
5 л
Товар временно недоступен. Аналог: 940500.500 ml, CDH, Индия.


Синонимы: 1,2,3-пропантриол.
CAS-No. 56-81-5
Химическая формула C₃H₈O₃
Молекулярный вес, г/моль 92,10
Содержание основного вещества, % 83,5-88,5
Внешний вид прозрачная вязкая жидкость
Вода, % 12-16
Ацетон, % не более 0,5
Хлориды, % не более 0,001
Тяжелые металлы, % не более 0,0005
Альдегиды, ppm не более 10
Плотность (d 20/4) 1,216 – 1,233
Показатель преломления (n 20/D) 1,449 – 1,455
Сульфатная зола, % не более 0,01
Условия хранения комнатная температура

Индекс риска

R24/25Токсично при попадании на кожу и проглатывании
Индекс риска (R)
24/25

Индекс безопасности

S26В случае попадания в глаза немедленно промыть глаза большим количеством воды и обратиться за медицинской помощью
S39Используйте средства защиты глаз/лица
S37/39Надеть соответствующие перчатки и средства защиты глаз/лица
S24/25Избегать попадания на кожу и в глаза
S36/37/39Надеть соответствующую защитную одежду, перчатки и средства защиты глаз/лица
S45В случае аварии или при плохом самочувствии немедленно обратиться за медицинской помощью (по возможности предъявить этикетку материала)
S36Наденьте соответствующую защитную одежду
Индекс безопасности (S)
26-39-37/39-24/25-36/37/39-45-36
neoFroxx
Глицин, CAS 56-40-6, 99,5 %, p.A., (аналог арт. 537345.100 gm, CDH, Индия)
LC-4522.5
250 г
LC-4522.1
500 г
LC-4522.2
1 кг
LC-4522.3
5 кг
Товар временно недоступен. Аналог: 537345.100 gm, CDH, Индия.


Синонимы: аминоуксусная кислота, гликокол.
CAS-No. 56-40-6
Химическая формула C₂H₅NO₂
Молекулярный вес, г/моль 75,07
Содержание основного вещества, % не менее 99,5
Внешний вид белые кристаллы
pH (5 % в воде, 20°C) 5,9-6,4
Потери при высушивании (110°C), % не более 0,2
Точка плавления, °C 232
Другие аминокислоты, % не более 0,1
Аммоний, % не более 0,02
Хлориды, % не более 0,005
Сульфаты, % не более 0,005
Мышьяк, % не более 0,0001
Железо, % не более 0,0005
Свинец, % не более 0,0005
Условия хранения комнатная температура

Индекс риска

R24/25Токсично при попадании на кожу и проглатывании
Индекс риска (R)
24/25

Индекс безопасности

S26В случае попадания в глаза немедленно промыть глаза большим количеством воды и обратиться за медицинской помощью
S39Используйте средства защиты глаз/лица
S37/39Надеть соответствующие перчатки и средства защиты глаз/лица
S24/25Избегать попадания на кожу и в глаза
S36/37/39Надеть соответствующую защитную одежду, перчатки и средства защиты глаз/лица
S45В случае аварии или при плохом самочувствии немедленно обратиться за медицинской помощью (по возможности предъявить этикетку материала)
S36Наденьте соответствующую защитную одежду
Индекс безопасности (S)
26-39-37/39-24/25-36/37/39-45-36
MP Biomedicals
Глицин, не менее 99%, molecular biology grade
0219482591
1 кг

Товар временно недоступен. Аналоги по запросу ниже.

neoFroxx
Глицин, 99,5%, для клеточной биологии, CAS 56-40-6, (аналог арт. 537345.100 gm, CDH, Индия)
1193GR500
500 г
Товар временно недоступен. Аналог: 537345.100 gm, CDH, Индия.


Синонимы: аминоуксусная кислота, гликокол.
CAS-No. 56-40-6
Химическая формула C₂H₅NO₂
Молекулярный вес, г/моль 75,07
Содержание основного вещества, % Не менее 99,5
Внешний вид Белый кристаллический порошок
Потери при высушивании, % Не более 0,1
Хлориды, % Не более 0,004
Сульфаты, % Не более 0,005
Железо, % Не более 0,001
Свинец, % Не более 0,001
Мышьяк, % Не более 0,0001
Аммоний, % Не более 0,02
Другие аминокислоты, % Не более 0,1
Условия хранения Комнатная температура

Индекс риска

R24/25Токсично при попадании на кожу и проглатывании
Индекс риска (R)
24/25

Индекс безопасности

S26В случае попадания в глаза немедленно промыть глаза большим количеством воды и обратиться за медицинской помощью
S39Используйте средства защиты глаз/лица
S37/39Надеть соответствующие перчатки и средства защиты глаз/лица
S24/25Избегать попадания на кожу и в глаза
S36/37/39Надеть соответствующую защитную одежду, перчатки и средства защиты глаз/лица
S45В случае аварии или при плохом самочувствии немедленно обратиться за медицинской помощью (по возможности предъявить этикетку материала)
S36Наденьте соответствующую защитную одежду
Индекс безопасности (S)
26-39-37/39-24/25-36/37/39-45-36
neoFroxx
Глутаминовая-L кислота, CAS 56-86-0, 98,5-100,5%, pure EP, USP (pharma grade), (аналог арт. 037102.100 gm, CDH, Индия)
LC-6007.2
1 кг

Товар временно недоступен. Аналог: 037102.100 gm, CDH, Индия.


Синонимы: L-2-аминоглутаровая кислота, (S)-2-аминопентандиовая кислота, Glu, (S)-2-Aminopentanedioic acid, L-Glutamic acid.






CAS-No. 56-86-0
Химическая формула C₅H₉NO₄
Молекулярный вес, г/моль 147,13
Содержание основного вещества, % 98,5-100,5
Тяжелые металлы, % не более 0,001
Сульфатная зольность,% не более 0,1
Потери при высушивании (3 ч; 105°C), % не более 0,1
Аммоний, % не более 0,02
Хлориды, % не более 0,02
Сульфаты, % не более 0,02
Железо, % не более 0,001
α20°C/D; 10 %, 1 M HCl, в пересчете на сухое вещество +30,5° - +32,5°
α20°C/D; 10 %, 2 M HCl +31,5° - +32,5°
neoFroxx
Глутаровый альдегид, CAS 111-30-8, раствор 50%, pure, (аналог арт. TC1558M .100 ml, CDH, Индия)
LC-10077.2
100 мл

Товар временно недоступен. Аналог: TC1558M .100 ml, CDH, Индия.



CAS-No. 111-30-8
Химическая формула OHC(CH2)3CHO
Молекулярный вес, г/моль 100,12
Содержание основного вещества, % не менее 50
Внешний вид прозрачная жидкость
pH 3,2-4,2
neoFroxx
Глутаровый альдегид, CAS 111-30-8, раствор 25%, pure, (аналог арт. DI815.500 ml, CDH, Индия)
LC-10058.2ДУ
1 л
LC-10058.1
100 мл

Товар временно недоступен. Аналог: DI815.500 ml, CDH, Индия.





Синонимы: глутардиальдегид, глутаровый диальдегид, пентан-1,5-диал.
CAS-No. 111-30-8
Химическая формула OHC(CH₂)₃CHO
Молекулярный вес, г/моль 100,12
Содержание основного вещества, % Не менее 25
Внешний вид Прозрачная жидкость
Плотность, г/мл (d 20 °C/ 4 °C) 1,059-1,063
Температура плавления, °C -21
Условия хранения Комнатная температура
neoFroxx
Глутатион-L восстановленный, CAS 70-18-8, 97%, для биохимии, (аналог арт. 37109.25 gm, CDH, Индия)
1392GR025
25 г

Товар временно недоступен. Аналог: 37109.25 gm, CDH, Индия.



Синонимы: γ-L-Глутамил-L-цистеинилглицин, GSH.
CAS-No. 70-18-8
Химическая формула C₁₀H₁₇N₃O₆S
Молекулярный вес, г/моль 307,33
Содержание основного вещества, % не менее 95,0
Внешний вид белый порошок
Специфическое вращение (α20°C/D; 2 % в воде) -16° до -19°
Растворимость (5 % в воде) чистый, прозрачный
Потери при сушке, % не более 0,5
pH (5 % в воде, 20°C) 5,5-7,0
Тяжелые металлы, % не более 0,0005
neoFroxx
Глюкоза D(+) безводная, CAS 50-99-7, pure EP, USP (pharma grade), (аналог арт. 506250.500 gm, CDH, Индия)
LC-5938.5
500 г
LC-5938.1
1 кг

Товар временно недоступен. Аналог: 506250.500 gm, CDH, Индия.



Синонимы: декстроза.
CAS-No. 50-99-7
Химическая формула C6H12O6
Молекулярный вес, г/моль 180,16
Содержание основного вещества, % 97,5-100,2
Внешний вид белый кристаллический порошок
Проводимость, µS/cm не более 20
Хлориды, % не более 0,01
Сульфаты, % не более 0,005
Специфическое вращение (α25/D) 52,5 …53,0°
Тяжелые металлы, % не более 0,0005
Железо, % не более 0,0005
Потери при высушивании, % не более 0,2
Вода, % не более 1
Сульфатная зола, % не более 0,02
Эндотоксины, I.U./g не более 10
TAMC, CFU/g не более 100
TYMC, CFU/g не более 100
neoFroxx
Глюкоза-D(+) безводная, CAS 50-99-7, для молекулярной биологии, (аналог арт. 506250.500 gm, CDH, Индия)
1179GR500
500 г
1179KG001
1 кг

Товар временно недоступен. Аналог: 506250.500 gm, CDH, Индия.



Синонимы: декстроза.
CAS-No. 50-99-7
Химическая формула C₆H₁₂O₆
Молекулярный вес, г/моль 180,16
Содержание основного вещества, % не менее 99
Вода, % не более 0,2
α20°C/D +52,5° … +53,3°
Сульфатная зола, % не более 0,1
Хлориды, % не более 0,01
Сульфаты, % не более 0,02
Сульфиты, % не более 0,001
Мышьяк, % не более 0,0001
Кальций, % не более 0,02
Свинец, % не более 0,00005
neoFroxx
Глюкоза-D(+) безводная, для клеточной биологии, CAS 50-99-7, (аналог арт. TC1130.100 gm, CDH, Индия)
1191GR500
500 г
1191KG001
1 кг
1191KG005
5 кг
1191KG025
25 кг

Товар временно недоступен. Аналог: TC1130.100 gm, CDH, Индия.



Синонимы: декстроза.
CAS-No. 50-99-7
Химическая формула C₆H₁₂O₆
Молекулярный вес, г/моль 180,16
Содержание основного вещества, % не менее 99,5
Внешний вид Белый порошок
α20°C/D +52,5…+53,3
Тяжелые металлы (такие как свинец), % Не более 0,0005
Сульфатная зола, % Не более 0,25
Вода, % Не более 1
Хлориды, % Не более 0,01
Сульфаты, % Не более 0,02
Мышьяк, % Не более 0,0001
Условия хранения комнатная температура

Индекс риска

R24/25Токсично при попадании на кожу и проглатывании
Индекс риска (R)
24/25

Индекс безопасности

S26В случае попадания в глаза немедленно промыть глаза большим количеством воды и обратиться за медицинской помощью
S39Используйте средства защиты глаз/лица
S37/39Надеть соответствующие перчатки и средства защиты глаз/лица
S24/25Избегать попадания на кожу и в глаза
S36/37/39Надеть соответствующую защитную одежду, перчатки и средства защиты глаз/лица
S45В случае аварии или при плохом самочувствии немедленно обратиться за медицинской помощью (по возможности предъявить этикетку материала)
S36Наденьте соответствующую защитную одежду
Индекс безопасности (S)
26-39-37/39-24/25-36/37/39-45-36
neoFroxx
Глюкоза-D(+) моногидрат, CAS 14431-43-7, pure EP, USP (pharma grade), (аналог арт. 506260.500 gm, CDH, Индия)
LC-5042.1
1 кг

Товар временно недоступен. Аналог: 506260.500 gm, CDH, Индия.



Синоним: декстроза.
CAS-No. 14431-43-7
Химическая формула C₆H₁₂O₆ х H₂O
Молекулярный вес, г/моль 198,17
Содержание основного вещества, % 97,5-102,0
Внешний вид белый кристаллический порошок
Проводимость, µS/cm не более 20
Специфическое вращение (α 25/D) +52.6 … +53.2°
Хлориды, % не более 0,018
Сульфаты, % не более 0,025
Тяжелые металлы, % не более 0,0005
Медь, % не более 0,0025
Цинк, % не более 0,0025
Мышьяк, % не более 0,0001
Вода, % 7,5-9,5
Сульфатная зола (600°C), % не более 0,1
Растворимый крахмал, сульфит (EP), % не более 0,0015
Ваш заказ будет обработан
в ближайшее время.
Мы пришлем уведомление, как только все будет готово. Спасибо!